发布时间:2025-12-25
信息来源:首都医科大学新闻网
字体:
大
中
小
打印
发布时间:2025-12-25
信息来源:首都医科大学新闻网
12月24日,国家儿童医学中心、国家儿童肿瘤监测中心、首都医科大学附属北京儿童医院倪鑫教授儿童肿瘤研究团队在《The Lancet》上在线发表题为“Socioeconomic inequalities in cancer survival and access to health care among children and adolescents in China, 2018–24: a prospective nationwide cohort study”的研究论文,这是首个针对我国0-19岁儿童和青少年癌症5年生存率和医疗保健可及性的队列研究。研究显示我国2018-2020年间新诊断癌症患者的5年生存率为77.2%。中国在提升儿童和青少年癌症生存率方面取得显著进展,但不同社会经济发展地区之间及地区内部仍存在差异。研究提示在省级和区域层面推进儿童和青少年癌症医疗资源分层化配置,可能有助于缩小不同地区间的生存差异。首都医科大学附属北京儿童医院倪鑫教授为第一作者和通讯作者,李哲、刘莹颖、李新平、白国良、卢明、杨卓煜、徐新为共同第一作者。

癌症是导致全球儿童和青少年死亡的主要原因之一。尽管医疗进步已显著改善了儿童和青少年癌症患者的生存结局,但在不同社会经济背景下,癌症患者的生存仍存在差距。为实现可持续发展目标中的卫生公平,亟须及时评估癌症患者的生存状况,并深入分析与医疗保健可及性相关的生存差异。
该研究基于国家儿童肿瘤监测中心的数据,采用Kaplan-Meier方法估算了2018年至2020年诊断的95189例0-19岁癌症患者的5年观察生存率,并按年龄、性别、癌症类型(基于儿童癌症国际分类第3版)、地区社会人口指数(Socio-demographic Index,SDI)类别以及患者在常住地省份内(省内)或省外(跨省)接受治疗进行分层分析。研究选取了与儿童青少年癌症诊疗密切相关的7项医疗服务指标,计算了各省及不同SDI地区中的医疗服务指标密度,以量化医疗保健可及性。采用随机生存森林模型量化了7项医疗服务指标对儿童及青少年癌症患者死亡风险下降的程度。

图1:2018-2020年中国12个主要癌症诊断组的确诊患者5年观察生存率热图,按地区SDI类别、性别和年龄组划分

图2:2018-2020年中国0-19岁癌症患者各个SDI地区内的5年生存率差异,按年龄组划分

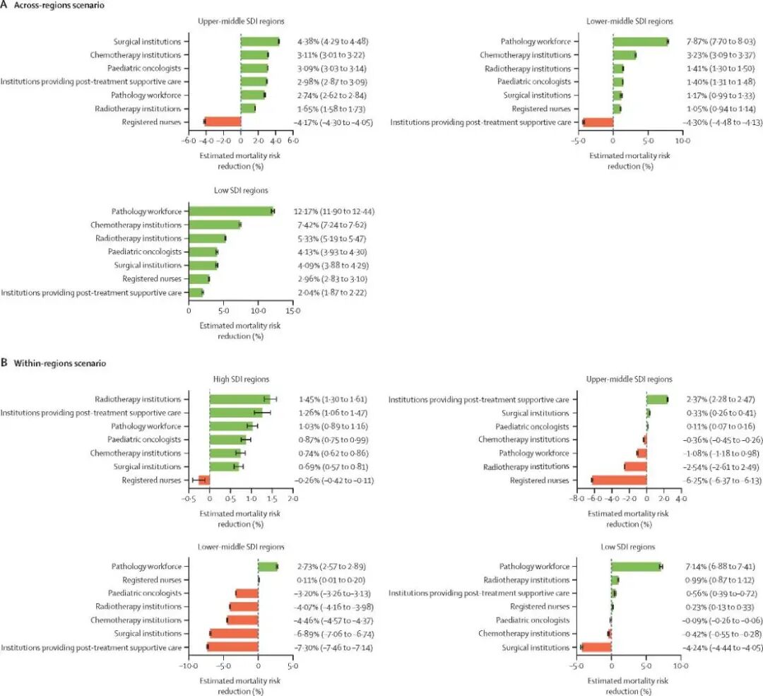
图3:在省内就医患者中情景模拟通过将医疗资源配置密度设置为最高省级观测值的死亡率风险降低效果
研究显示儿童(0-14岁)癌症患者的5年生存率为77.8%,青少年(15-19岁)为75.3%。女孩生存率(79.0%)略高于男孩(75.8%)。在12个主要诊断组中,视网膜母细胞瘤的生存率最高(91.2%),恶性骨肿瘤最低(60.4%)。世界卫生组织《全球儿童癌症倡议》所列的六个优先关注的癌种,包括急性淋巴细胞白血病、伯基特淋巴瘤、霍奇金淋巴瘤、视网膜母细胞瘤、肾母细胞瘤和低级别胶质瘤——在我国的5年生存率均超过80%,远超世卫组织提出的60%目标。
研究同时揭示,生存率在不同地区之间存在明显差异。总体生存率从低SDI地区的72.6%至高SDI地区的84.9%,这一差异在青少年群体中更为突出。各SDI地区内部也存在生存差异,尤其低SDI地区最为明显。全国有23.5%的儿童和青少年癌症患者选择跨省进行初次诊疗,其死亡风险显著低于省内就医患者(风险比为0.81)。然而,跨省就医的生存获益并不均衡,其生存率与患者居住地及就诊地的社会经济发展水平密切相关。
研究通过情景模拟提出了儿童青少年癌症医疗资源“分层配置”的优先事项:欠发达地区应优先补齐病理诊断等基础支撑能力;较发达地区则需着力完善治疗体系与全程照护链条。该蓝图为系统性优化全国儿童和青少年癌症医疗资源布局、以有效提升整体生存率提供了坚实的决策依据。
该研究不仅为我国儿童肿瘤防治体系奠定了数据基础,也为优化卫生资源配置、推进健康公平提供了依据。我国在提升儿童和青少年癌症生存率方面的系统性实践,为全球中低收入国家提供了成功经验。
该研究受国家自然科学基金项目(82293665、82293660、82303929)、北京市研究型病房卓越计划项目(BRWEP2024W102090101)、北京市自然科学基金项目(L232034、7242050、9254027)、吴阶平医学基金会项目(320.6750.2021-04-66)和北京市科学技术委员会、中关村科技园区管理委员会医药创新品种及平台培育项目(Z231100004823034)资助。
相关人物