发布时间:2026-04-13
信息来源:北京国际科技创新中心微信公众号
字体:
大
中
小
打印
发布时间:2026-04-13
信息来源:北京国际科技创新中心微信公众号
磁星是宇宙中磁场最强的天体,其活动规律一直是天文学难题。中国科学院上海天文台利用天马望远镜长期观测,首次证实磁星射电活跃期演化具有可重复性。
超润滑技术工程化长期受工况条件限制。中国科学院兰州化物所团队提出全新设计原理,实现极端环境下稳健超润滑,为工业应用铺平道路。
基于国际科技创新中心网络服务平台科创热榜每日榜单形成的一周科技记忆,我们推出《一周前沿科技盘点》专栏。今天,为大家带来第187期。
1《SCIENCE CHINA Physics, Mechanics & Astronomy》丨天马望远镜 2100天观测揭开磁星演化之谜

XTE J1810−197自转和辐射参数随时间演化:(a)双频观测时长;(b)自转频率;(c)自转频率一阶导数;(d)双频流量密度;(e)谱指数;(f)中间成分的相位调制指数;(g)中间成分在峰值强度10%处宽度。
磁星是拥有超强磁场的特殊脉冲星,磁场强度比地球实验室最高磁场强十亿倍以上,被认为是快速射电暴等剧烈爆发现象的“引擎”。但由于观测样本稀少,学界对其认知一直有限。中国科学院上海天文台等研究团队发挥天马望远镜“一镜双频”优势,在2.25GHz与8.60GHz两个频段,对磁星XTE J1810−197 进行了长达2100余天的同步监测,完整覆盖了该磁星最近一次从射电活跃到静默的全过程。
研究团队对比分析了本次与2003年历史活跃期的数据,发现两次活跃期的演化特征高度一致:都经历了活跃初期的剧烈震荡、中期的“下降—回升”过程和后期的稳定平台期,演化时标与幅度也十分相似。这种可重复性不仅体现在自转变化上,也体现在射电辐射行为的整体趋势中。研究团队用扭曲磁层模型成功拟合了观测结果。
该研究深化了人类对磁星射电辐射机制的理解,为极端磁场环境下的等离子体物理研究提供了依据,也为预测磁星射电活跃行为提供了参考。
2《Advanced Materials》丨新型界面设计实现毫米级高应力超润滑

归一化接触超润滑设计及构筑
超润滑能近乎消除摩擦磨损,但此前仅能在小尺寸、低载荷、真空环境下实现,无法满足工程实际需求。
中国科学院兰州化学物理研究所团队提出基于归一化接触的工程超润滑设计原理,建立了从宏观接触到原子晶格的跨尺度协同调控方法。团队通过激光织构将宏观面接触拆分为无数等同的微米级单元,确保每个单元接触状态一致;在单元表面构筑刚性类金刚石膜与柔性二硫化钼晶体的配副界面,削弱高压下的形变;再用MXene材料增强锚定二硫化钼,使其在高压和大气环境下保持完整层状结构。同时,团队揭示了运动中原子晶格的动态偏转机制,发现该界面具有永久非公度接触特性,从根本上消除了原子互锁。最终,团队在毫米级接触尺寸、12.7GPa高接触应力及40%湿度的大气环境下,实现了稳健的超润滑性能,工况条件已达到甚至超过实际零部件运行要求。
该研究突破了超润滑技术的原有耐受极限,为其在航空航天、先进制造等领域的工程应用奠定了基础。
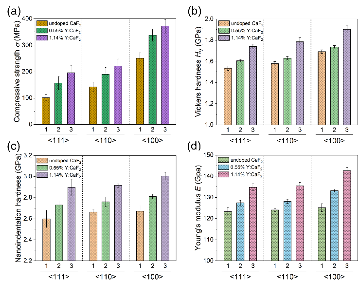
3《Acta Materialia》丨萤石型晶体抗断裂研究取得进展

CaF2晶体压缩强度、硬度及杨氏模量的各向异性
萤石结构碱土金属氟化物晶体因超宽光谱高透过率等特性,广泛应用于光刻系统、激光器件等高端光学领域,同时在固态电解质等能源器件中也极具潜力。但这类材料存在极端力学各向异性,{111}晶面极易解理开裂,严重影响器件性能与寿命,其原子尺度变形机制此前一直未被阐明。
中国科学院上海硅酸盐研究所团队通过理论计算,从能量竞争角度量化揭示了该类晶体“脆性-塑性”的各向异性本质。研究发现,{111}晶面兼具最低解理能与极高滑移能垒,二者比值接近1.0,因此呈现极端解理倾向;而{001}<110>滑移系因最低剪切强度和阴离子弛豫效应,解理能与滑移能垒比值大于3.8,成为主导塑性变形的滑移系。同时,团队进一步构建了可推广至其他萤石结构材料的EC/Γ能量判据框架,实现了从“经验解释”到“定量预测”的转变,为通过择优织构、精准掺杂等方式提升材料抗断裂能力指明了方向。
该研究建立了原子尺度键合与宏观力学响应的关联,为高端光学装备和新能源系统关键材料的性能升级提供了理论支撑。
4《Nature》丨Xa48基因筑牢粮食安全防线

XA48介导的免疫信号通路及Xa48-OsVOZ1免疫模块的驯化规律
由于气候异常、水稻抗源单一及病原菌变异快,水稻白叶枯病已蔓延至主要稻区,威胁粮食安全。中国科学院分子植物科学卓越创新中心等团队成功克隆出白叶枯病广谱抗病基因Xa48,首次阐明了相关免疫受体与病原菌毒性蛋白激发免疫的新模型,揭示了其在作物驯化中协调生长与免疫的分子基础。
团队筛选大量水稻资源,在籼稻品种中鉴定出Xa48,它编码免疫受体蛋白,主要针对东北亚白叶枯病病原菌变种,还找到了对应的病原菌效应蛋白XopG,明确了二者激活免疫反应的机制。研究发现,Xa48基因仅保留在南方籼稻中,粳稻中已消失,这与南北稻区白叶枯病发生压力差异相关;同时构建了抗性研究平台,建立协同免疫体系,杂交聚合两种抗性的水稻新品系,在极端胁迫下仍能稳定抗病且不影响产量,证实了免疫网络叠加可重构广谱抗性。
目前,相关成果已落地多家育种单位,为粮食安全提供保障。
5《Gut》丨补硒可显著提升肝癌免疫治疗疗效

硒蛋白P缺乏通过诱导中性粒细胞衰老和免疫抑制微环境促进肝癌进展
肝细胞癌是我国高发的恶性肿瘤,此前研究发现衰老样中性粒细胞具有免疫抑制功能,且血清硒和硒蛋白P(SEPP1)水平降低与肝癌风险增加相关,但背后机制一直不明确。
中国科学院上海营养与健康研究所等团队研究发现,肝癌组织中SEPP1显著下调。通过单细胞测序,研究人员在肝癌组织中鉴定出一群独特的"衰老样"肿瘤浸润中性粒细胞,它们会分泌抑制免疫的物质。实验证实,肝脏中SEPP1减少会增加这类细胞的比例,抑制免疫杀伤细胞的作用,加速肝癌发展。进一步机制研究表明,SEPP1是中性粒细胞获取硒的关键"运输车"。当肝癌导致SEPP1缺失时,中性粒细胞内硒代谢紊乱,通过表观遗传修饰开启了促衰老基因的表达,让中性粒细胞变成了“衰老样”的免疫抑制细胞。
临床转化研究显示,补充硒能恢复肝脏SEPP1水平,逆转中性粒细胞的衰老状态,显著提升抗PD-1 免疫治疗对肝癌的疗效。同时,使用衰老细胞清除药物也能达到类似效果。该研究为肝癌的综合治疗提供了新的理论依据和干预策略。
6《PNAS》丨原子精度解锁蓝藻光合作用核心秘密

蓝藻Anabaena sp. PCC 7120的PSI-CpcL-PBS及CpcL-PBS的结构细节
光系统 I(PSI)和光系统 II(PSII)是光合作用中实现光能转化的核心蛋白复合体,藻胆体(PBS)则是蓝藻捕获光能的主要 "天线",负责将光能传递给两个光系统。蓝藻的藻胆体主要分为CpcG-PBS 和CpcL-PBS两种类型。
中国科学院植物所团队以丝状固氮蓝藻Anabaena sp.PCC 7120为研究材料,通过冷冻电镜技术,首次在原子和近原子水平上解析了PSI-CpcL-PBS和 CpcL-PBS超分子复合体的高分辨率结构。研究发现,CpcL-PBS呈三层杆状结构,位于PSI四聚体的基质侧。CpcL蛋白像"桥梁"一样介导了PBS与PSI的结合,其C端跨膜螺旋插入PSI两个单体的交界面,同时PSI中的脂质分子也参与调控这一结合过程。此外,研究还确定了PBS向PSI传递能量的3个关键末端供体藻胆素。
这项成果阐明了CpcL介导PBS与PSI结合的分子机制,为深入理解蓝藻的光能捕获和传递过程提供了结构基础。
关于“科创热榜-前沿科技”
国际科技创新中心网络服务平台(www.ncsti.gov.cn),基于中国科学院、工程院、医科院、农科院、985高校及新型研发机构等近200家科研院所、单位发布的研究成果,多源动态提取并按领域维度、期刊级别、创新载体、学者信息、时间梯度等多维度权重,经人工智能计算分析,形成推荐榜单,每日更新。
相关人物